2023春季学期中职国家免学费名单公告
发布时间:2023-06-16 14:25:55     来源:     浏览次数:

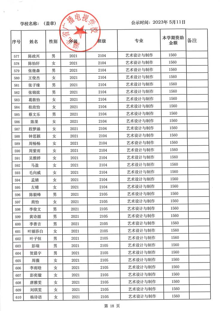
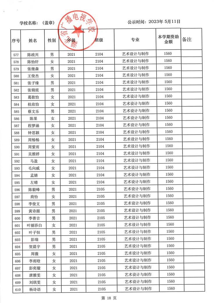
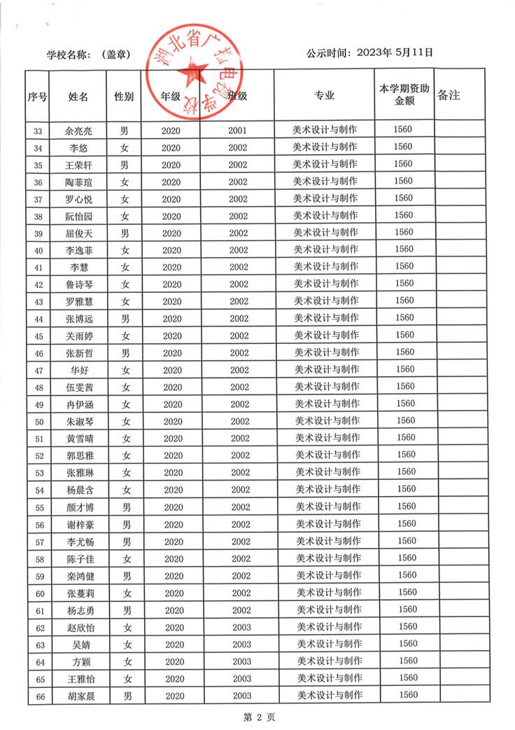
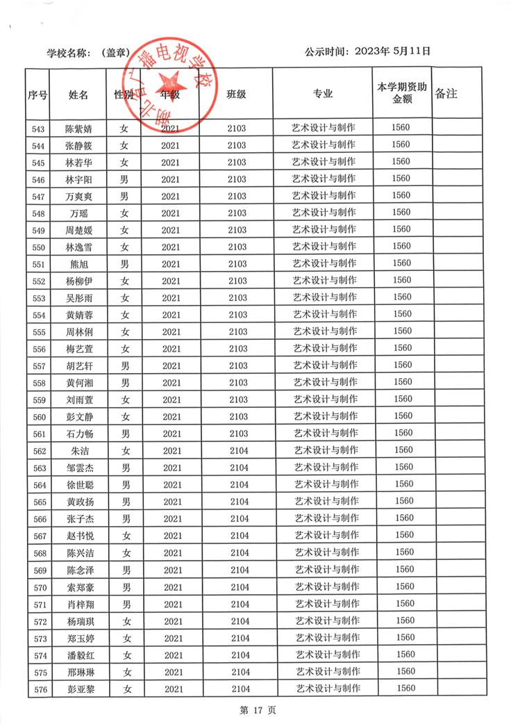
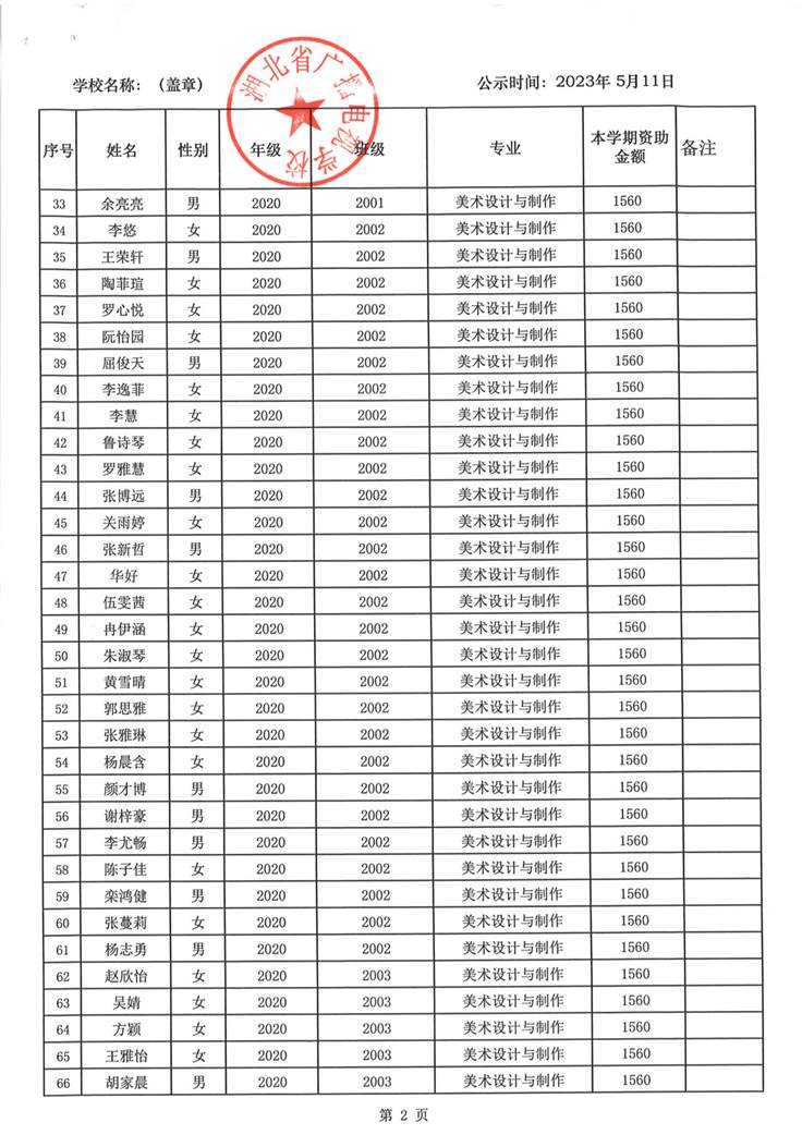
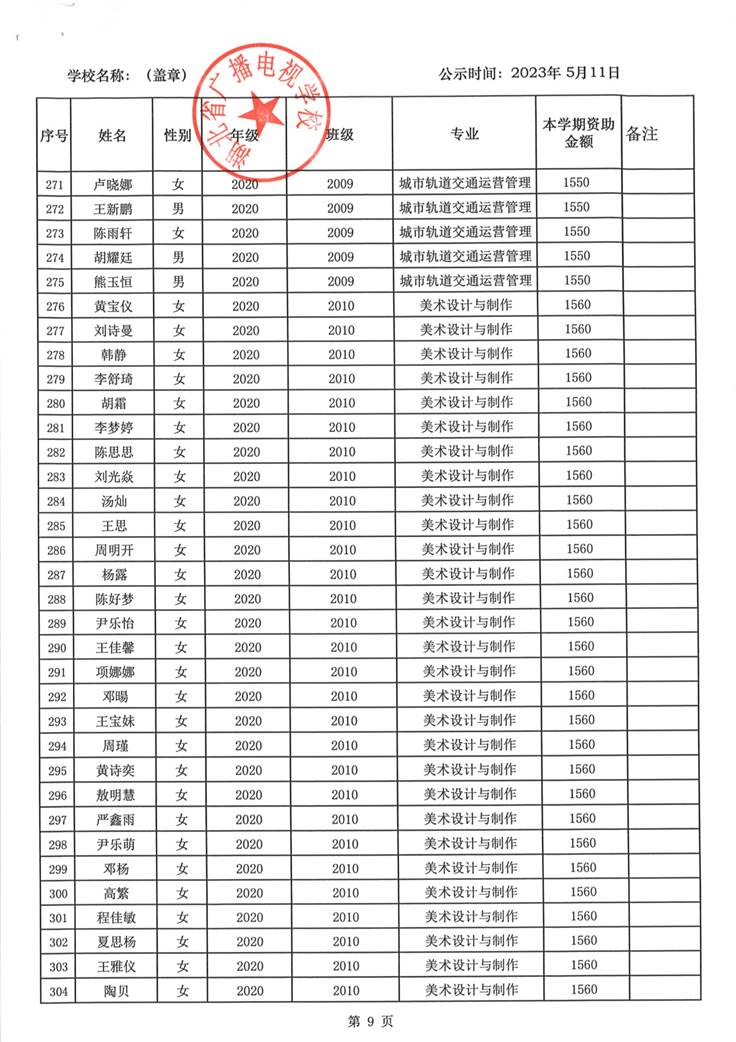
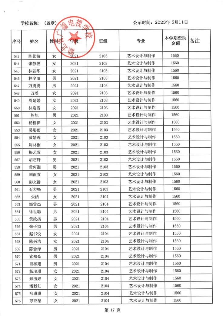
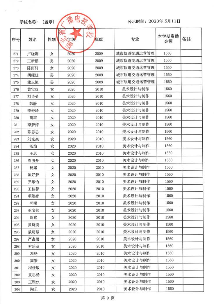
  我校于2023515日至2023519日对2023春季学期国家免学费学生名单(共1188人)进行了公示。公示期间,未收到对以上受助学生的投诉,无异议,全部符合资助条件。现将受助名单公开发布,具体名单附后。

  特此公告

 

 

                                 亿德官方官网

                                  2023613

 


 


校址:湖北省武汉市汉阳区十里铺高家咀特1号  邮编:430051  电话:027-84660099  传真:027-51470202
技术支持:尚网互联    鄂ICP备2022019858号-1  版权所有:亿德官方官网
×在线客服

热线电话

027-84660099

微信公众账号